工作频率: Hz, 希望的电抗值: Ohms
(eg: approx. 8 Ohms for first order crossover, 11.3 Ohms for second order crossover)

需要的电感量 L = mH,   需要的电容量C = uF

    

工作频率: Hz, 电感量: mH

电抗值计算结果:XL = Ohms

    

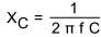
工作频率: Hz, 电容量: uF    

电抗值计算结果:XC = Ohms