![图片[1]-一文详解MOSFET导通状态漏源电阻-曙光学习苑](https://www.zgqtz.com/wp-content/uploads/2024/07/u28001220052455940141fm253fmtautoapp138fJPEG.webp-300x300-1.jpg)
分立MOSFET数据手册中最突出的规格之一是漏极 – 源极导通电阻,缩写为R DS (on)。这个R DS (on)的想法看起来非常简单:当FET截止时,源极和漏极之间的电阻非常高 – 我们假设零电流流动。当FET的栅极 – 源极电压(V GS)超过阈值电压(V TH)时,它处于“导通状态”,漏极和源极通过电阻等于R DS(on)的通道连接。但是,如果您熟悉MOSFET的实际电气特性,您应该很容易认识到该模型不符合事实。
![图片[2]-一文详解MOSFET导通状态漏源电阻-曙光学习苑](https://www.zgqtz.com/wp-content/uploads/2024/07/u28001220052455940141fm253fmtautoapp138fJPEG.webp-300x133-1.jpg)
首先,FET实际上没有“导通状态”。当没有截止时(我们忽略了亚阈值导通),FET可以处于三极管区域或饱和区域。这些区域中的每一个都具有其自己的电流 – 电压关系。然而,我们可以安全地假设“导通状态”对应于三极管区域,因为R DS(on)与开关电路,而不是小信号放大器和开关电路相关 – 例如,用于驱动电动机或控制继电器 – 采用截止和三极管区域。

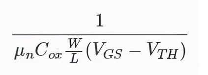
但是,三极管区域的控制不仅仅是一个阻力,而是一个相当复杂的方程:

(这是对于NMOS器件; PMOS器件将具有μ p,而不是μ Ñ。)但是,如果我们忽略在V DS 2项,方程可如下简化:

现在我们确实在漏极 – 源极电流(I D)和漏极 – 源极电压(V DS)之间具有线性(即,电阻)关系。然而,“电阻”不是恒定的,如仅仅是电阻器的情况; 相反,阻力对应

这让我们了解了关于R DS (on)的重要观点:它受栅极 – 源极电压的影响。以下是Fairchild的NDS351ANMOSFET 数据表中的示例:

这部分的典型阈值电压为2.1 V.如果您快速查看V TH规格,并且在R DS(on)规范中非常快,您可能会认为可以用3.3 V逻辑信号驱动该FET实现广告的抗国家抵抗表现。考虑到数据表明确规定了对应于R DS(on)规范的栅极 – 源极电压,这将有点粗心; 然而,一个或两个R DS(on) / V GS数据点不能传达适用于实际远高于典型V TH的栅极 – 源极电压的导通电阻的极端增加。因此,故事的道德是1)记住通态(即三极管区域)电阻取决于V GS和2),详细信息请参考R DS(on)与V GS的关系图。
此外,导通电阻不等于由上面给出的三极管区域方程表示的电阻。后者是MOSFET沟道的电阻,而导通电阻包括其他电阻键合线,外延层等。电阻特性受制造技术的影响,以及R DS不同组件的各自贡献( on)根据特定器件的电压范围而变化。
影响导通电阻的另外两个因素是结温和漏极电流,如NDS351AN数据表中的这两个图所示:


因此,在为特定开关应用找到合适的MOSFET之前,您可能需要到处购物并花一些时间在一些数据表上。
- 1、 本站的文章部分内容均来源于网络,仅供大家学习与参考,如有侵权,请联系站长:QQ932926588,邮箱同号。
- 2、 本站一切资源不代表本站立场,并不代表本站赞同其观点和对其真实性负责。
- 3、 本站一律禁止以任何方式发布或转载任何违法的相关信息,访客发现请向站长举报
- 4、 本站资源大多存储在云盘,如发现链接失效,请联系我们会第一时间更新。



























暂无评论内容